Sənaye Xəbərləri

Çözünürlük və sabitliyin artırılması üçün siklodekstrin əsaslı həllər

2025-12-23 - Mənə bir mesaj buraxın

Çözünürlük və sabitliyin artırılması üçün siklodekstrin əsaslı həllər

Hidroksipropil Betadeks və Betadeks Sulfobutil Eter Natriumun Texniki Baxışı

Siklodekstrinlər zəif həll olunan və ya kimyəvi cəhətdən həssas birləşmələrin həllolma qabiliyyətini və sabitliyini yaxşılaşdırmaq qabiliyyətinə görə geniş şəkildə tanınır. Öz unikal tsiklik molekulyar quruluşu sayəsində siklodekstrinlər və onların törəmələri əczaçılıq, kimya və əlaqəli formulasiya sahələrində mühüm funksional köməkçi maddələrə çevrilmişdir. Artan texniki və tənzimləyici tələblərə cavab olaraq, Xi'an Deli Biochemical, əsas siklodekstrin törəmələri üçün texniki sənədləri və məhsul dəstəyini daha da təkmilləşdirdi:hidroksipropil betadeks (HPBCD) və betadeks sulfobutil efir natrium (SBECD).


Siklodekstrinlərin Struktur Xüsusiyyətləri və Funksional Performansları

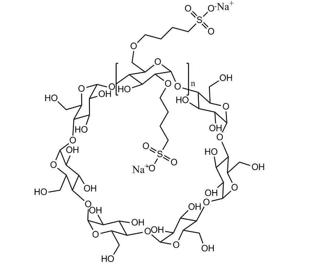
Siklodekstrinlər α-1,4 qlikozid bağları ilə bağlanmış qlükoza vahidlərindən ibarət siklik oliqosakkaridlərdir. Onların molekulyar arxitekturası hidrofilik xarici səthə və nisbətən hidrofobik daxili boşluğa malikdir və bu, geniş qonaq molekulları ilə daxilolma komplekslərinin formalaşmasına imkan verir. Siklodekstrin strukturunun kimyəvi modifikasiyası suda həllolma qabiliyyətini əhəmiyyətli dərəcədə artıra və tətbiqin çox yönlülüyünü genişləndirə bilər.


Hidroksipropil Betadeks (HPBCD)


Hidroksipropil betadeks, yerli siklodekstrinlərin məhdud həllolma qabiliyyətini aradan qaldırmaq üçün nəzərdə tutulmuş kimyəvi cəhətdən dəyişdirilmiş β-siklodekstrindir. Onun təkmilləşdirilmiş suda həllolma qabiliyyəti və əlverişli uyğunluğu HPBCD-ni müxtəlif sistemlərdə effektiv həlletmə, stabilləşdirmə və formulasiya çevikliyi tələb edən tətbiqlər üçün uyğun edir.


Betadex Sulfobutil Eter Natrium (SBECD)


Betadex sulfobutil efir natrium sulfobutil efir əvəzediciləri ilə xarakterizə olunan anion siklodekstrin törəməsidir. Bu struktur spesifik birləşmələrlə elektrostatik qarşılıqlı əlaqəni gücləndirir, daha tələbkar tətbiqlərdə təkmilləşdirilmiş həll qabiliyyətini, kompleks sabitliyi və formulasiya möhkəmliyini dəstəkləyir.

Standartlaşdırılmış Məhsul Məlumatı və Texniki Dəstək

Formulyasiyanın işlənməsini, keyfiyyətin qiymətləndirilməsini və satınalma proseslərini daha yaxşı dəstəkləmək üçün Xi'an Deli Biochemical HPBCD və SBECD üçün məhsul məlumatlarını sistematik olaraq yenilədi, o cümlədən:


  • Aydın şəkildə müəyyən edilmiş və standartlaşdırılmış məhsul spesifikasiyası və analitik parametrlər
  • İzləmə qabiliyyətini və keyfiyyətin yoxlanılmasını təmin etmək üçün partiyaya məxsus Analiz Sertifikatları (COA)
  • İdarəetmə, saxlama və tipik tətbiq mülahizələrinə müraciət edən genişləndirilmiş texniki tez-tez verilən suallar
  • Effektiv texniki baxışı və seçimi asanlaşdırmaq üçün optimallaşdırılmış məhsul xülasəsi


Bu təkmilləşdirmələr şəffaflığı artırmaq, qiymətləndirmə müddətlərini azaltmaq və təchizat dövrü ərzində ardıcıl məhsul performansını dəstəkləmək məqsədi daşıyır.


İstehsal təcrübəsi və keyfiyyət təminatı

1999-cu ildə qurulan Xi'an Deli Biochemical, siklodekstrin törəmələrinin istehsalında 26 illik təcrübə gətirir. Şirkət əsas diqqəti hidroksipropil betadeks və betadeks sulfobutil efir natriumunun idarə olunan istehsalına yönəldir, prosesin ardıcıllığını, partiyadan partiyaya etibarlılığı və uzunmüddətli təchizat sabitliyini vurğulayır. Strukturlaşdırılmış keyfiyyət idarəçiliyi təcrübələri müştərilərin texniki, tənzimləyici və mənbə tələblərini dəstəkləyir.


Tətbiq sahəsi və texniki əməkdaşlıq

Siklodekstrin daxil edilməsi və sabitləşdirmə mexanizmlərinə əsaslanaraq, HPBCD və SBECD bir çox texniki sahələrdə, o cümlədən əczaçılıqla əlaqəli formulalar, xüsusi kimyəvi maddələr, baytarlıq məhsulları və yüksək həllolma və sabitlik tələb edən digər sistemlərdə tətbiq olunur. Xi'an Deli Biochemical inkişaf edən formulasiya ehtiyaclarını dəstəkləmək üçün tətbiq mərkəzli ünsiyyət və texniki əməkdaşlıq vasitəsilə tərəfdaşlarla əlaqə saxlamağa davam edir.


Xi'an Deli Biokimya Sənayesi Şirkətləri haqqında

1999-cu ildə qurulan Xi'an Deli Biochemical Industry Companies qlobal müştərilərə hidroksipropil betadeks (HPBCD) və betadeks sulfobutil efir natrium (SBECD) təmin edən siklodekstrin törəmələrinin ixtisaslaşmış istehsalçısıdır. Məhsulun ardıcıllığına, aydın spesifikasiyalara və praktiki texniki dəstəyə uzun müddət diqqət yetirməklə, şirkət etibarlı siklodekstrin əsaslı həllər təmin etməyə sadiq qalır.


İstəyirsinizsə, mən də edə bilərəm:


  • Bunu Google SEO üçün daha da optimallaşdırın (texniki tonu azaltmadan)
  • Onu məhsul səhifəsinin “Texniki Yeniləmə” versiyasına birləşdirin
  • Onu tənzimləyici / keyfiyyətə yönəlmiş müştərilər üçün uyğunlaşdırın


Sadəcə onu harada dərc etməyi planlaşdırdığınızı deyin.


Sorğu göndərin


icon
X
Biz sizə daha yaxşı baxış təcrübəsi təklif etmək, sayt trafikini təhlil etmək və məzmunu fərdiləşdirmək üçün kukilərdən istifadə edirik. Bu saytdan istifadə etməklə siz kukilərdən istifadəmizlə razılaşırsınız. Məxfilik Siyasəti
Rədd edin Qəbul edin